目次
解答
①15
②225
解説を読んで「 規則性 」を攻略しよう!
STEP1:問題から規則を見つけ出そう

今回の規則は1段目の真ん中が1、2段目の真ん中が2、3番目の真ん中が3、○番目に真ん中が○になるということでした。
数字の列がどんどん大きくなっていることが目に見えてわかると思います。
今回の規則はけっこう見つけやすいですね!
STEP2:15段目の真ん中の数を計算しよう

STEP1で見つけた規則をもとに考えると、15段目の数列は上のようになります。
つまり1から順に数が大きくなっていき、真ん中が15になったところでまた1に向かって数がへっていきます。
よって真ん中の数は15とわかります。
STEP3:全体を部分と部分に分けて計算しよう

②の15段目の数列の和を求める問題では、数列全体を部分と部分に分けて考えましょう。
この数列は、1~14までが2セットあり、15が1つあります。
よって数列を足したときの和=1~14の総和×2+15です。
STEP4:1から14までの総和×2+15で答えを出そう

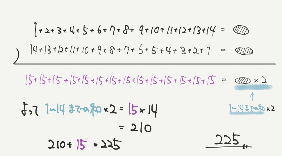
1~14の総和×2を求めるために計算式を書き出してみましょう。
同じ数式を反対に書いて足していくと、
1~14の総和×2=15+15+15+15+15+15+15+15+15+15+15+15+15+15となるので、
1~14の総和×2=15×14となります。
よって1~14の総和×2+15=210+15で225と計算することができました。
規則性を理解して○段目にある数列を求める問題のまとめ
「 規則性 」の問題で大事なポイント
- 「 規則性 」の考え方
- 規則を見つけること
- 数列の真ん中の数が1つずつ大きくなっているのが規則でしたね
- 規則を見つけること
- 数列の和の求め方
- はじめの数、終わりの数、数字の個数の3つを求めよう
以上で今日の問題は終わりです!
最後まで読んでくれてありがとうございました!!
次の問題で会いましょう!!!
「 規則性 」の復習はこちらから!
規則性に関する問題は今回で13問目です!
これまでの規則性の問題の中をいくつかピックアップしました。
今日の問題のほかにもこちらの問題も挑戦してみて下さいね。


