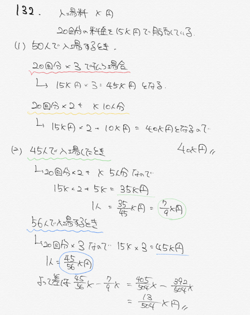
[132]ある博物館の入場券はx円である。また、切り離して使用できる20枚つづりの入場回数券を15x円で販売している。ただし、余った回数券の払い戻しはしないものとする。
①50人で入場したい。最も安くすむ場合の総額はいくらか。
②45人で入場する団体Pと、56人で入場する団体Qがある。最も安くすむ場合、PとQの1人当たりの金額の差額はいくらか。
(SPI&テストセンター超実践問題集/ナツメ社)
解答は下にあります↓

どちらの方が安いのか比較して求めていきましょう。
1)場合分けして求めていきます。
50人で入場する場合、考えられるチケットの買い方は
①20回分の回数券を3セット買う場合
②20回分の回数券を2セット+個別で10枚買う場合
の2通りがあります。
それぞれの金額を計算していくと、
①15x×3=45x円
②15x×2+10×x=40x円になります。
2)45人で入場した場合と56人で入場した場合の2通りを考えます。
45人の時(1)より、20回分の回数券を2セット+個別で5枚買った方が安い場合があります。
また、56人の時は20回分の回数券を3セット買った方が安いこともわかります。
ここから1人あたりの金額を求めることができ、差額を計算することができます!!
Amazonで好評発売中
この記事が役に立ったら、問題集にもチャレンジしてみよう!
中学受験に全敗した僕が、早稲田に合格するまでに見つけた勉強法を全60問に凝縮しました。線分図・面積図・仮定の考え方を、本番レベルの問題で実践できます!
Amazonで「下克上算数ドリル」を見る →
※ Kindle版なのでタブレットやスマホですぐ読めます
noteで受験のリアルを発信中
サイトでは書けない受験の本音、noteで話しています
受験生の不安とどう向き合うか、親はどこまでサポートすべきか。12校全敗からの経験を、もっと深くお伝えしています。フォローしてくれたらうれしいです!
noteをフォローする →
※ 無料で読める記事もたくさんあります
